Iharanikkei Chemical Industry for toluene chlorination, photochlorination and chlorine technology

Home > Photochlorination

Photochlorination


What's Photochlorination ?

What's Photochlorination ?

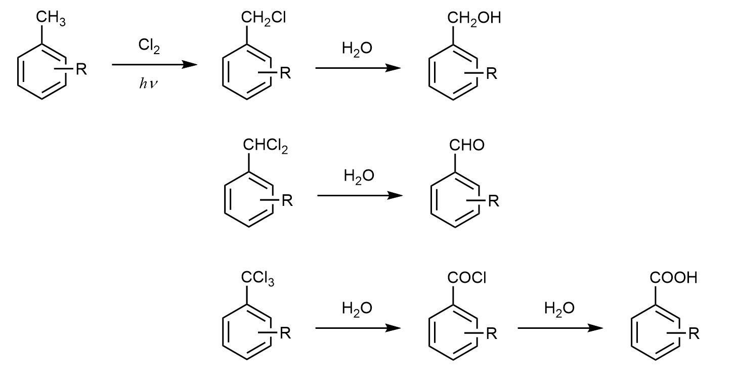
The chlorine molecule (Cl-Cl) is composed of two chlorine atoms (Cl) bonded together. When chlorine is exposed to light, the chlorine molecule is cleaved to form the highly reactive chlorine radical (Cl・). The chlorination that proceeds when this chlorine radical (Cl-) reacts with other hydrocarbon compounds is called "Photochlorination".

We have photochlorination facilities that chlorinates by irradiating light. We perform methyl group chlorination of toluene/xylene and acid chlorination of aldehydes.


Each product can be separated in a distillation facility, and hydrolysis is used to derivate the products into aldehydes, carboxylic acid chlorides, etc.



What's Photochlorination ?

In addition to methyl group chlorination reactions such as toluene and xylene, photochlorination can also be utilized for chlorination of compounds with double bonds.


What's Photochlorination ?
There are only a few companies in Japan that can perform such chlorination reactions using light, and Iharanikkei is one of the few companies in Japan that can perform photochlorination.


Advantages of Photochlorination

Since no radical initiator is added, the following advantages are available


Reaction efficiency and labor saving in the work process are possible

Compared to reactions using radical initiators, there is no temperature-dependent change in the radical generation rate or half-life, so reactions can proceed efficiently. In addition, in mass production facilities, only the lighting of the light source is required in the control room, eliminating the need to add radical initiators and saving labor in the process.

No need to be aware of radical initiator residue removal

When radical initiators are used, residue needs to be removed after the reaction. On the other hand, photochlorination does not require the removal process itself, which is advantageous for early commercialization of new photochlorination projects.

No azo compounds with explosion hazard are used

Azo compounds are generally used as radical initiators, but azo compounds have the risk of explosion. Ihara Nikkei does not add radical initiators using photo-irradiation technology. Therefore, there is no risk of explosion due to azo compounds, and safer production is possible.


Contact Us

Please feel free to contact us with any questions or concerns about chlorination.

Page top